Chemical Reaction Engineering Module Updates
For users of the Chemical Reaction Engineering Module, COMSOL Multiphysics® version 5.3a includes a thermodynamic properties database for fluids, functionality for coupling these properties to the reaction engineering interfaces, and three tutorial models to demonstrate the new functionality. Learn more about these chemical reaction engineering features below.
Built-In Functionality for Calculating Thermodynamic Properties
The thermodynamic properties database in the Chemical Reaction Engineering Module makes it possible to calculate fluid properties such as enthalpy of formation, enthalpy of reaction, heat capacity, thermal conductivity, density, diffusivity, and equilibrium composition. These properties can be calculated for pure fluids, mixtures, and for two-phase fluid systems consisting of pure compounds and mixtures.
You can create a property package for a specific system, which specifies the available species and the phases (states of aggregation) that may be present in the modeled system. The property package defines and evaluates the functions for thermodynamic and transport properties of the chemical system, for example, the species and mixture properties for liquids, gases, gas-vapor equilibria (flash calculations), and liquid-liquid equilibria.
The built-in database contains transport and thermodynamic properties for 251 chemical species or compounds. The External Property Package features links to external CAPE-OPEN compliant packages to calculate property functions in addition to those of the built-in database.
Settings window for a Property Package. The species for the methane reformation process are selected from the built-in thermodynamics database.
Settings window for a Property Package. The species for the methane reformation process are selected from the built-in thermodynamics database.Automatic Definition of Thermodynamic Properties by Coupling to Property Packages
Following the creation of a property package, you can couple the chemical species in it with the chemical species defined in the Reaction Engineering or Chemistry interfaces. This implies that all species property parameters and property functions, required by these interfaces, can be automatically created by the property package. Examples of species properties that can be automatically created are the molar mass, heat capacity, enthalpy, and entropy of each species. The Reaction Engineering and Chemistry interfaces can also be used to define transport properties for the resulting mixture (all species in the interface). When coupled, the following mixture properties can be automatically created: heat capacity, density, diffusivity, thermal conductivity, and dynamic viscosity.
Using a property package significantly increases the modeling capabilities in the Reaction Engineering and Chemistry interfaces. All ideal and nonideal thermodynamic models, for gases and liquids, are directly available and automatically updated by editing the settings for the property package. Furthermore, the Chemistry interface can be used to make the mixture properties readily available in space-dependent models for modeling of mass transport, heat transfer, or fluid flow.
The Settings window of a Reaction Engineering interface when coupling to a Property Package. The species in the Reaction Engineering interface can be matched to the thermodynamic property package.
The Settings window of a Reaction Engineering interface when coupling to a Property Package. The species in the Reaction Engineering interface can be matched to the thermodynamic property package.
The density, viscosity, heat capacity, and thermal conductivity for the cooling fluid in a four-cylinder combustion engine is calculated with a thermodynamic property package. The fluid flow and the heat transfer analysis is run fully coupled with the thermodynamic and transport property functions.
The density, viscosity, heat capacity, and thermal conductivity for the cooling fluid in a four-cylinder combustion engine is calculated with a thermodynamic property package. The fluid flow and the heat transfer analysis is run fully coupled with the thermodynamic and transport property functions.Revamped Free and Porous Media Flow Interface
With the new version of the Free and Porous Media Flow interface, you can couple laminar or turbulent free flow with porous media flow. This interface remains unique in its coupling with the electrochemistry interfaces for the modeling of porous electrodes.
Kozeny-Carman Permeability Model
The Kozeny-Carman permeability model, available for the Darcy's Law interface in COMSOL Multiphysics® version 5.3a, allows you to estimate the permeability of granular media from the porosity and particle diameter.
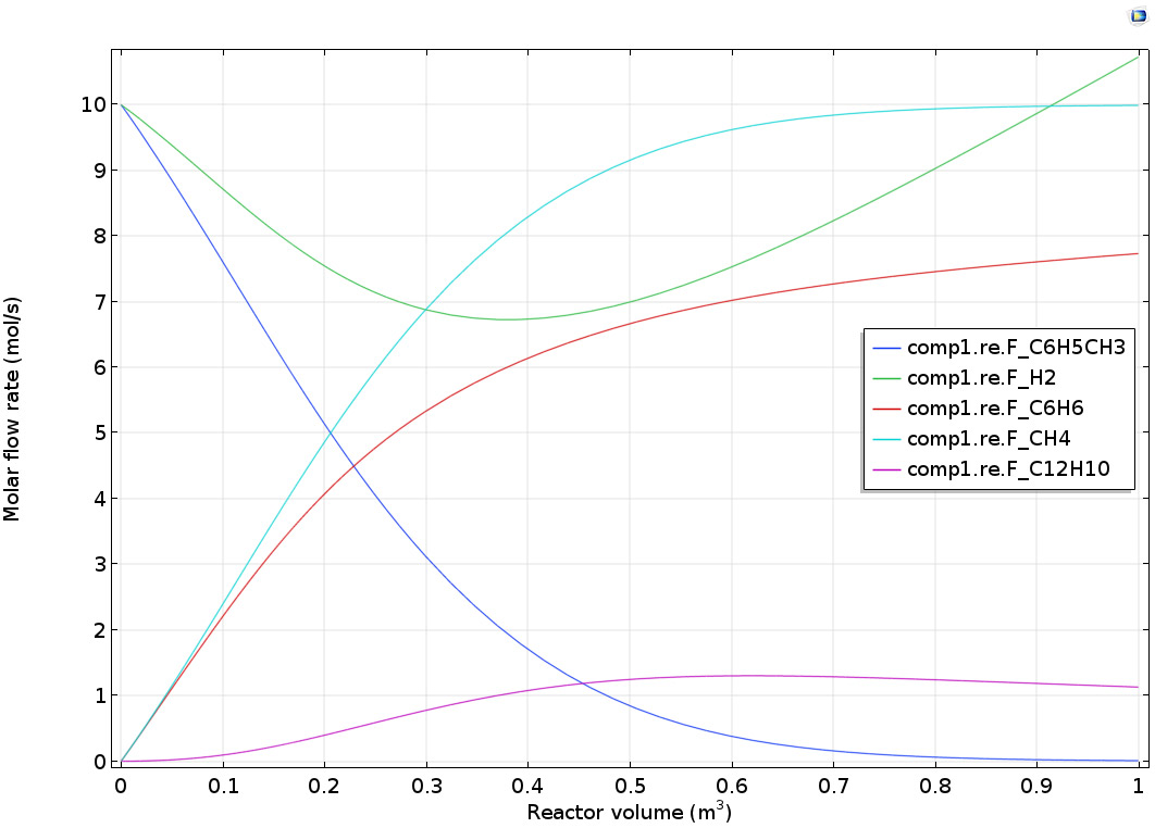
New Tutorial Model: Hydrodealkylation in a Membrane Reactor
One of the main uses of the thermodynamic properties database is for modeling reacting systems in chemistry and chemical engineering. The thermal hydrodealkylation process carried out in a membrane reactor is modeled using the built-in thermodynamic and physical property evaluations. The transport and reaction problem is defined and solved with a thermodynamic property package for a tubular reactor with and without membrane.
Molar flow rate at the outlet of the membrane reactor as a function of the reactor length for the membrane reactor.
Molar flow rate at the outlet of the membrane reactor as a function of the reactor length for the membrane reactor.Application Library path:
Chemical_Reaction_Engineering_Module/Thermodynamics/membrane_hda
New Tutorial Model: Engine Coolant Properties
A second possible application of the thermodynamic properties database is for the modeling of pure fluid flow problems or fluid flow problems involving heat transfer, i.e., without chemical reactions involved. In this tutorial model, you can investigate the properties of a liquid coolant for internal combustion engines. Although pure water works well as a coolant, to prevent freezing at low temperatures, a mixture of ethylene glycol and water is normally used to lower the freezing point. The built-in thermodynamics functionality is used here to show how the boiling point, density, viscosity, thermal conductivity, and heat capacity all depend on the composition of the coolant mixture, and how changes in these properties affect the cooling process.
The coolant temperature inside the test apparatus is considered.
The coolant temperature inside the test apparatus is considered.Application Library path:
Chemical_Reaction_Engineering_Module/Thermodynamics/engine_coolant_properties
New Tutorial Model: Distillation Column
The third possible application of the new thermodynamic properties database is for the modeling of separation processes involving flash calculations, for example, distillation. This tutorial shows how to make a simple model of a binary distillation process, modeling the separation of a nonideal liquid mixture of ethanol and water. The distillation process is performed in a packed column utilizing the difference in volatility to separate the species into counter-flowing gas and liquid phases. The model uses an Equilibrium Calculation function from the new built-in thermodynamic properties database. The goal of the model is to find the optimal design of the column, in terms of the length of the stripping and rectifying sections, to meet a set of predefined distillate and bottoms compositions.
An x-y diagram (phase diagram) showing the calculated operating lines within the distillation column.
An x-y diagram (phase diagram) showing the calculated operating lines within the distillation column.Application Library path:
Chemical_Reaction_Engineering_Module/Thermodynamics/distillation_column
