Batteries & Fuel Cells Module Updates

For users of the Batteries & Fuel Cells Module, COMSOL Multiphysics® version 5.3a includes a new application for designing lithium-ion batteries, a new Baker-Verbrugge diffusion model, and two new battery tutorials. Learn more about these batteries and fuel cells features below.

New Demo App: Battery Designer

The new Battery Designer application can be used as a design tool to develop an optimized battery configuration for a specific use. The app computes the capacity, energy efficiency, heat generation, and capacity losses due to parasitic reactions of a lithium-ion battery for a specific load cycle. In the app, you can control various battery-design parameters, such as: the geometrical dimensions of the battery canister; the thicknesses of the different components (separator, current collectors, and electrodes); the positive electrode material; and the volume fractions of the different phases of the porous materials. The load cycle is a charge-discharge cycle using a constant current load, which may be different for the charge and discharge stages. The app also computes the battery temperature, assuming a uniform internal battery temperature, based on the generated heat and the thermal mass. Cooling is defined using an ambient temperature parameter and a heat transfer coefficient.

The Battery Designer demo app, new with COMSOL Multiphysics version 5.3a. User interface of the Battery Designer app. User interface of the Battery Designer app.

Application Library path:
Batteries_&_Fuel_Cells_Module/Applications/li_battery_designer

Revamped Free and Porous Media Flow Interface

With the new version of the Free and Porous Media Flow interface, you can couple laminar or turbulent free flow with porous media flow. This interface remains unique in its coupling with the electrochemistry interfaces for the modeling of porous electrodes.

Kozeny-Carman Permeability Model

The Kozeny-Carman permeability model, available for the Darcy's Law interface in COMSOL Multiphysics® version 5.3a, allows you to estimate the permeability of granular media from the porosity and particle diameter.

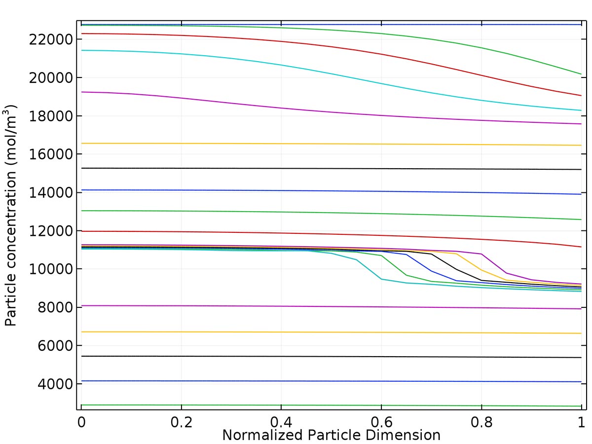
New Diffusion Model in the Particle Intercalation Node

The new Baker-Verbrugge diffusion model, in the Lithium-Ion Battery and Battery with Binary Electrolyte interfaces, adds a correction to the diffusion coefficient in the electrode particles based on the equilibrium potential of the intercalation reaction. Generally, the Baker-Verbrugge model is better at capturing state-of-charge dependent transport rates and staging phenomena.

A plot of the particle concentration in an Li-ion battery electrode. Concentration profiles in a lithium-ion battery electrode particle. For this model, the Baker-Verbrugge diffusion model exhibits a pronounced effect of "staging" between the concentrations 9000 to 11000 mol/m3. Concentration profiles in a lithium-ion battery electrode particle. For this model, the Baker-Verbrugge diffusion model exhibits a pronounced effect of "staging" between the concentrations 9000 to 11000 mol/m3.

Application Library path:
Batteries_&_Fuel_Cells_Module/Batteries,_Lithium-Ion/li_battery_multiple_materials_1d

New Tutorial Model: Heterogeneous Li Battery

The latest trend in high-fidelity battery modeling is to model the structure of the porous electrodes in detail, in so-called heterogeneous models. This new tutorlal describes the behavior of a lithium-ion battery unit cell modeled using an idealized three-dimensional geometry. The geometry mimics the structural details in the porous electrodes. These models are referred to as heterogeneous models. In contrast to the typical homogenized approach for describing porous electrodes, heterogeneous models describes the actual shapes of the pore electrolyte and electrode particles. The model also uses a coupling to structural mechanics to calculate von Mises stresses in the particles. These stresses can be used to estimate cycle fatigue and thus also estimate possible loss of performance due to cracks formed during the cycle. The Electrode Reaction node in the Lithium-Ion Battery interface has been updated with a new Lithium-Insertion Reaction kinetics type, which is used by the new tutorial model.

Note: This model also requires the Structural Mechanics Module.

A COMSOL model of a heterogeneous lithium-ion battery.

Concentration distribution in the electrode particles. From the Heterogeneous Li Battery tutorial in the Batteries & Fuel Cells Application Library.

Concentration distribution in the electrode particles. From the Heterogeneous Li Battery tutorial in the Batteries & Fuel Cells Application Library.

Application Library path:
Batteries_&_Fuel_Cells_Module/Batteries,_Lithium-Ion/heterogeneous_li_battery

New Tutorial Model: Lumped Li Battery Parameter Estimation

This new tutorial model uses a "black-box" approach to define a battery model based on a small set of lumped parameters, assuming no knowledge of the internal structure, the design of the battery electrodes, or the choice of materials. The input to the model is the battery capacity, the initial state-of-charge (SOC), and an open circuit voltage vs. SOC curve, in combination with load cycle experimental data. Parameter estimation of the lumped parameters is achieved using the Optimization interface.

Note: This model also requires the Optimization Module.


Application Library path:
Batteries_&_Fuel_Cells_Module/Batteries,_Lithium-Ion/lumped_li_battery_parameter_estimation